SCHOOL

Логотип телеграм канала @colorgradingmaster — SCHOOL S
Логотип телеграм канала @colorgradingmaster — SCHOOL
Адрес канала: @colorgradingmaster
Категории: Видео и фильмы
Язык: Русский
Страна: Россия
Количество подписчиков: 1.18K
Описание канала:

🚦 Киношкола Алекса Макарова
🎥 https://www.school.makarovstudios.com/
Все курсы по подписке:
👍 Цветокоррекция в DaVinci
🔥 Эффекты во Fusion
🎬 Секреты и философия видеомонтажа

Рейтинги и Отзывы

3.00

2 отзыва

Оценить канал colorgradingmaster и оставить отзыв — могут только зарегестрированные пользователи. Все отзывы проходят модерацию.

5 звезд

1

4 звезд

0

3 звезд

0

2 звезд

0

1 звезд

1


Последние сообщения

2021-08-04 09:46:43 Доброе утро, друзья!
Как и обещали: мы сняли клип специально для студентов курса "Видеомонтаж в DaVinci Resolve". Кадры получились совершенно фантастические, эксклюзивный доступ к материалам будет только у студентов курса, которые смонтируют свою версию музыкального видео для популярной артистки

Как снимался клип:



Старт курса - 9 августа. Программа и запись - тут
315 viewsedited  06:46
Открыть/Комментировать
2021-08-02 11:01:38
СНЯТО!!!
Ваш материал для обучения. Мы отсыпаемся, а вам хорошей недели, коллеги!
310 views08:01
Открыть/Комментировать
2021-08-01 15:46:27 Старт курса "Видеомонтаж в DaVinci Resolve" - через 8 дней!

Осталось чуть больше недели до старта нашего курса "Видеомонтаж в DaVinci Resolve". Уже 9 августа в 19:00 режиссер Алекс Макаров проведет первое занятие. Мы подготовили для вас невероятно насыщенную и мощную программу: целых 2 месяца посвятим изучению секретов и философии монтажа, а также работе с инструментами DaVinci Resolve.

Одной из главных особенностей курса станет, конечно же, практическая часть. Ведь именно практика - обязательный и важный этап для повышения навыков монтажа. Монтаж - это не просто нарезка кадров на таймлайне, это искусство, которое позволяет создать шедевральную историю из любого материала.

Вот, какие задания вам предстоит делать на курсе:
• Монтаж рекламного ролика для Fashion бренда ( Россия, Украина )
• Монтаж и цветокоррекция рекламного ролика для пищевой компании
( Израиль )
• Монтаж презентационного ролика о Лос-Анджелесе ( USA )
• Монтаж диалога из сериала English Only ( USA )
• Монтаж музыкального клипа известного артиста ( Украина )
• Монтаж фестивального видео ( International )
• Монтаж рекламного ролика для международной охранной компании
( Great Britain, Italy, USA, Russia, Ukraine )
• Работа со спецэффектами во Fusion

Совсем скоро мы закрываем набор в группу, а следующий поток будет только в следующем году. Так что оставляйте заявку и присоединяйтесь прямо сейчас - и до встречи на курсе!

P.S. Ровно в 19:00 начнется ПОВТОР бесплатного ознакомительного вебинара по Видеомонтажу в DaVinci Resolve. Переходите по ссылке и занимайте места в вебинарной комнате прямо сейчас.
376 views12:46
Открыть/Комментировать
2021-08-01 15:45:36
339 views12:45
Открыть/Комментировать
2021-07-31 13:35:24
Курс "Видеомонтаж в DaVinci Resolve" - осталось 10 дней до старта!

Впереди у студентов курса – целых 2 месяца обучения под руководством режиссера Алекса Макарова. В программе – 16 вебинаров, посвященных инструментам и функционалу DaVinci Resolve, секреты и философия видеомонтажа, много совершенно потрясающей практики. Совсем скоро мы закрываем набор в группу, следующий курс будет только через год.

Оставляйте заявку на сайте и присоединяйтесь к обучению!
427 views10:35
Открыть/Комментировать
2021-07-28 19:30:52 Color Grading Master pinned «Новый выпуск уже в эфире Сегодня говорим про трекинг в DaVinci:

16:30
Открыть/Комментировать
2021-07-28 19:30:45 Новый выпуск уже в эфире
Сегодня говорим про трекинг в DaVinci:

272 views16:30
Открыть/Комментировать
2021-07-27 16:31:09 Color Grading Master pinned a photo
13:31
Открыть/Комментировать
2021-07-27 16:31:01
СЕГОДНЯ!

Режиссер Алекс Макаров проведет для вас вебинар "Видеомонтаж в DaVinci Resolve".

За 1 час времени разберём, как устроен интерфейс программы, заглянем в комнаты Media, Edit, Cut, Color, Fairlight и покажем, на какую магию способна Fusion. И, конечно же, поговорим о видах монтажных склеек и монтаже, как искусстве, а не нарезке кадров.

Эфир начнется в 19:00, все детали и регистрация - на сайте:
https://www.school.makarovstudios.com/webinar_editing_with_davinci_resolve
206 views13:31
Открыть/Комментировать
2021-07-24 14:05:08 Доброй субботы всем, друзья
Опубликовали новое видео на канале, в котором режиссер Алекс Макаров делится своими советами, как рисовать раскадровку - быстро и удобно.

Приятного просмотра:


А как вы делаете раскадровку? Делитесь в чате Человек с киноаппаратом
273 views11:05
Открыть/Комментировать
2021-07-22 14:45:02
Коллеги, привет. Частенько вы задаете вопрос - "Как рабочую область Fusion сделать вертикальной". Сделал для вас картинку. Теперь точно никто не забудет
119 views11:45
Открыть/Комментировать
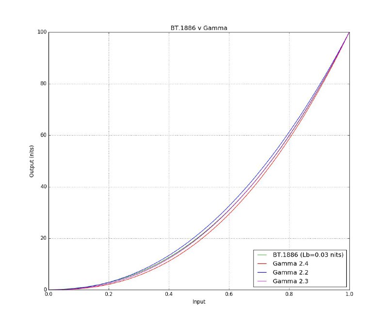
2021-07-21 13:31:29 Gamma 2.2 - эта настройка гаммы обычно используется для более ярких условий просмотра. Представьте офисную обстановку с яркими потолками и большим количеством непрямого дневного света, поступающего из внешних окон. При таких условиях на экране просмотра должны появляться тени, иначе изображение станет мягким, а «понижение» настройки гаммы помогает изображению бороться с бликами. Следовательно, Gamma 2.2 является стандартной настройкой гаммы для Windows и была стандартной настройкой гаммы на компьютерах Apple с Mac OS 10.6 (в предыдущих версиях Mac OS использовалась гамма 1.8), поскольку компьютерные дисплеи предполагают яркое изображение в дневное время.

Gamma 2.35 и 2.4 - эта настройка гаммы обычно используется для более темных условий просмотра. Например, когда вы смотрите телевизор поздним вечером, сидя в гостиной. В таких условиях опасность размытия изображения намного меньше, и более темные части изображения легче различать. Следовательно, гамма 2.35 и 2.4 используются в условиях тусклого (но не затемненного) просмотра.
339 views10:31
Открыть/Комментировать
2021-07-21 13:31:25
Gamma 2.2 или Gamma 2.4: что лучше?

Интересный вопрос задал один из наших подписчиков: что лучше использовать - Gamma 2.2 или Gamma 2.4. Что ж, давайте разберемся!
944 views10:31
Открыть/Комментировать
2021-07-10 15:19:55 Привет всем, дорогие.
Новый выпуск блога уже в эфире:



Наслаждайтесь просмотром и желаем вам прекрасных выходных
299 views12:19
Открыть/Комментировать
2021-07-08 19:04:28 Друзья, мы в эфире!
Вебинар Видеомонтаж в DaVinci Resolve уже начался!
Подключайтесь по ссылке:

192 views16:04
Открыть/Комментировать
2021-07-08 13:00:09 Color Grading Master pinned «Привет! Сегодня вечером - вебинар "Видеомонтаж в DaVinci Resolve". Ждём всех! Регистрация: https://www.school.makarovstudios.com/webinar_editing_with_davinci_resolve»
10:00
Открыть/Комментировать
2021-07-08 12:59:34 Привет!
Сегодня вечером - вебинар "Видеомонтаж в DaVinci Resolve". Ждём всех!

Регистрация:
https://www.school.makarovstudios.com/webinar_editing_with_davinci_resolve
288 viewsedited  09:59
Открыть/Комментировать
2021-07-06 09:50:01 Color Grading Master pinned «Доброе утро, друзья! Приглашаем вас на вебинар "Видеомонтаж в DaVinci Resolve", который состоится уже 8 июля в 19:00.

Все детали и регистрация - на сайте»
06:50
Открыть/Комментировать
2021-07-06 09:49:30 Доброе утро, друзья!
Приглашаем вас на вебинар "Видеомонтаж в DaVinci Resolve", который состоится уже 8 июля в 19:00.




Все детали и регистрация - на сайте
597 views06:49
Открыть/Комментировать
2021-07-01 13:22:34

699 views10:22
Открыть/Комментировать
2021-06-22 09:30:48 УРА! Объявляем о старте набора на большой авторский курс режиссера Алекса Макарова «Видеомонтаж в DaVinci Resolve». Курс, который вы ждали два года! Целых два месяца мы посвятим разбору инструментов монтажа DaVinci, а также изучению видов монтажных склеек, секретам и философии видеомонтажа.

Что будет на курсе:
• 16 занятий в прямом эфире
• 5 домашних заданий с проверкой
• 2 онлайн-завтрака выходного дня
• Личный кабинет на удобной онлайн-платформе
• Обратная связь главного эксперта курса
• Доступ к секретному Telegram-чату
• Записи уроков и футаджи для практики
• Бонусные вебинары

Количество мест - строго ограничено. Уже сейчас половину мест заняли наши студенты предыдущих курсов. Переходите на сайт, смотрите программу и оставляйте заявку, чтобы забронировать участие на курсе по самым лучшим условиям.

Детально о курсе:



Регистрация на курс: https://www.school.makarovstudios.com/editing_advanced_class
1.0K views06:30
Открыть/Комментировать
2021-05-25 14:40:44 Друзья, новый выпуск уже на нашем YouTube-канале.
Важный секрет, который будет вам ооооочень полезен. Велком!



1.3K views11:40
Открыть/Комментировать
2021-05-24 13:07:56
1.1K views10:07
Открыть/Комментировать
2021-05-24 13:07:19 Стартуем через одну неделю!

Уже 1 июня начинается наш курс DaVinci для тех, кто спешит:

12 вебинаров с экспертом
Материал для практики
Обратная связь преподавателя
Личный кабинет с материалами
Закрытый чат в Telegram

Осталось всего 2 места в группе!
Детальная программа: https://www.school.makarovstudios.com/davinci_quick_start_landing

Присоединяйтесь!
941 views10:07
Открыть/Комментировать
2021-05-18 19:01:31 Добрый вечер, друзья!
В новым выпуске блога отвечаем на один из самых популярных вопросов.
Ловите полезный совет и прекрасного всем вечера!



1.3K views16:01
Открыть/Комментировать
2021-05-13 20:54:50 Добрый вечер, друзья!

Записали новый выпуск блога на вашу любимую тему ))
Приятного просмотра:

1.4K views17:54
Открыть/Комментировать
2021-05-08 15:05:59
1 июня начинается курс-марафон по цветокоррекции в DaVinci. Заходите на сайт, знакомьтесь с программой курса и пишите в онлайн-поддержку, чтобы забронировать себе место в группе!

Все детали:
https://www.school.makarovstudios.com/davinci_quick_start_landing
1.4K viewsedited  12:05
Открыть/Комментировать
2021-05-04 18:57:49 Друзья, благодарим за ваши отклики по видео! Знаем, что тема по Fusion многим интересна. Решили запустить тематический чат, где будем обсуждать все, что связано с этой прекрасной и функциональной программой. Заходите, присоединяйтесь к общению, задавайте вопросы.

Чат по Fusion
1.3K views15:57
Открыть/Комментировать
2021-05-04 16:05:24 Новый выпуск уже на YouTube канале, всем приятного просмотра!



1.1K views13:05
Открыть/Комментировать
2021-05-04 11:40:54 Color Grading Master pinned «Что бы не происходило в мире, видео всегда будет востребованным. Особенно, в сфере рекламы, где качественный ролик - основной инструмент продаж. Цветокоррекция - это та самая вишенка на торте, которая делает видео привлекательным и дорогим. Красивая картинка…»
08:40
Открыть/Комментировать